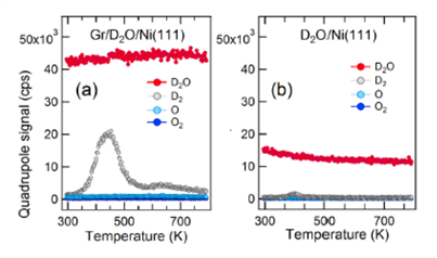
Thermal desorption spectroscopy (TDS)
Thermal desorption spectroscopy (TDS), also known as temperature programmed desorption (TPD) is the method of observing desorbed molecules from a surface when the surface temperature is increased. Many researchers prefer the name TPD because it is not a spectroscopic method.  
When molecules come in contact with a surface, they adsorb onto it, minimizing their energy by forming a chemical bond with the surface. The binding energy varies with the combination of the adsorbate and surface. If the surface is heated, at one point, the energy transferred to the adsorbed species will cause it to desorb. The temperature at which this happens is known as the desorption temperature. Thus TDS shows information on the desorption energy (related to adsorption energy).
For further details clike here.